Practice Page
Directions: Grab your paper and pencil. See Lesson for solutions of similar types of problems.

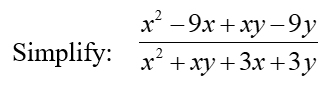
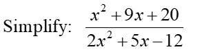
1.
Choose:
 
1
-1
cannot be   
     simplified

 


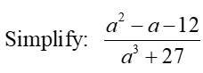
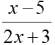
2.
Choose:
 

 


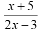
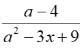
3.
 
Choose:
 

 


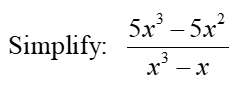
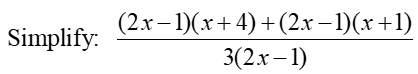
4.
Choose:
 
p
-p
p + 1 p - 1

 

 

5.
Choose:
 

16m2 + 12m + 9

-16m2 - 12m - 9
  16m2 - 12m + 9 -4m2 - 12m - 9

 

 

6.
Choose:
 

 


7.
Choose:
 

 


8.
Choose:
 


divider

NOTE: The re-posting of materials (in part or whole) from this site to the Internet is copyright violation
and is not considered "fair use" for educators. Please read the "Terms of Use".